Októberi szabványszüret2022. október 18. 08:22 Az október 296 szabványváltozást hozott. 144 új szabvány jelent meg, 130-at visszavontak, 16-ot magyar nyelven adtak közre és 6-ot helyesbítettek. Ebből a szakterületünket öt új szabvány érinti. Lakóházi sprinkler, szállítószalagok gyúlékonysága, cigaretták tűzokozó hatása, veszélyes anyag tartályok, felvonó ajtók tűzállósága. Magyar nyelven a multiszenzoros tűzérzékelők.
Új szabványok
13 Környezet. Egészségvédelem. Biztonság
- MSZ EN 12259-14:2020+A1:2022 Beépített tűzoltó berendezések. Sprinkler- és vízpermetező berendezések részegységei. 14. rész: Lakóépületekben használatos sprinklerek
- MSZ EN ISO 340:2022 Szállítószalag-hevederek. Gyúlékonysági jellemzők laboratóriumi mérése. Követelmények és vizsgálati módszerek (ISO 340:2022)
- MSZ EN ISO 12863:2022 A cigaretták tűzokozó hatásának értékelése szabványos vizsgálati módszerrel (ISO 12863:2022)
- MSZ EN 13094:2020+A1:2022 Tartályok veszélyes anyagok szállítására. Gravitációs ürítésű fémtartályok. Kialakítás és konstrukció
91 Építőanyagok és építés
- MSZ EN 81-58:2022 Felvonók szerkezetének és beépítésének biztonsági előírásai. Felülvizsgálat és vizsgálatok. 58. rész: Aknaajtók tűzállósági vizsgálata
Magyar nyelvű szabványok
MSZ EN 54-29:2015 Tűzjelző berendezések. 29. rész: Multiszenzoros tűzérzékelők. Füst- és hőérzékelők kombinációjából álló pontszerű érzékelők
Szabványok helyesbítése
A szabvány hivatkozási száma, címe
|
A hiba helye
|
Nyomtatva
|
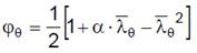
MSZ EN 1993-1-2:2013
Eurocode 3: Acélszerkezetek tervezése. 1-2. rész: Általános szabályok. Szerkezetek tervezése tűzhatásra
|
28. oldal
(4.6.) képlet
|

|
|
Helyesen
|
|

|
Vissza
Ezt a hírt eddig 1707 látogató olvasta. |